User.Identity is not null

User.Identity.IsAuthenticated: False

Đề thi Vòng quốc gia TIMO khối 3 năm 2016-2023

0.0 (0) 0 lượt tải

Đề thi Vòng quốc gia TIMO khối 3 năm 2016-2023

0.0 (0) 0 lượt tải

Miễn phí

Chuyên mục
Toán Quốc Tế
Chủ đề
TIMO
Loại tài liệu
Đề thi
Dạng file
pdf
XEM THỬ
TÀI LIỆU HAY MIỄN PHÍ & CỘNG ĐỒNG GIÁO DỤC HỮU ÍCH!

Dành cho Ba Mẹ & Thầy Cô:

Quét mã QR (hoặc click link bên dưới) để vào ngay nhóm Zalo! Nơi bạn dễ dàng nhận tài liệu chọn lọc, được hỗ trợ kịp thời, cùng giao lưu, chia sẻ kinh nghiệm và kiến thức quý báu để đồng hành cùng sự phát triển của con em/học sinh.

Mã QR Nhóm Zalo

Hoặc tham gia tại: Link trực tiếp đến nhóm Zalo


Cần hỗ trợ?

Nếu bạn gặp bất kỳ khó khăn nào trong quá trình tải tài liệu, vui lòng liên hệ:

Hotline: 0965 865 940

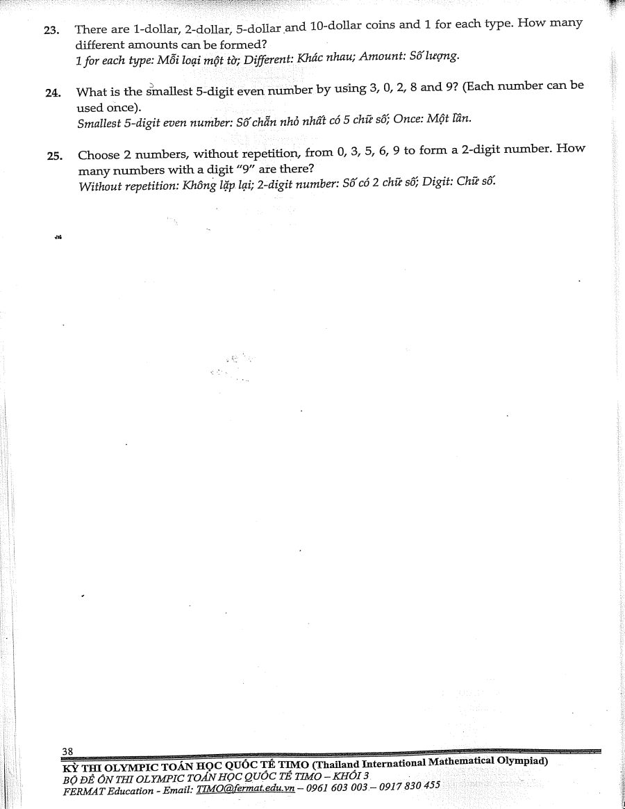
Tài liệu "Đề thi Vòng quốc gia TIMO khối 3 năm 2016-2023" bao gồm các đề thi chính thức của kỳ thi TIMO (Thailand International Mathematical Olympiad) dành cho học sinh khối lớp 3 trong khoảng thời gian từ năm 2016 đến 2023. Mỗi đề thi bao gồm khoảng 25 câu hỏi, được chia thành 5 phần chính:

  • Logical Thinking (Tư duy lô-gic): Các câu hỏi tập trung vào khả năng suy luận, phân tích và tìm ra quy luật.
  • Arithmetic (Số học): Các bài toán liên quan đến các phép tính cơ bản, dãy số, và các tính chất của số.
  • Number Theory (Lý thuyết số): Các câu hỏi về các tính chất của số, ước số, bội số, và các bài toán liên quan đến số học.
  • Geometry (Hình học): Các bài toán về hình học phẳng, hình khối, tính diện tích, chu vi, và nhận biết các hình.
  • Combinatorics (Tổ hợp): Các câu hỏi về đếm số cách, sắp xếp, và các bài toán liên quan đến tổ hợp.

Mục tiêu của tài liệu:

  • Cung cấp tài liệu ôn tập chính thức và chất lượng cho học sinh chuẩn bị cho kỳ thi TIMO.
  • Giúp học sinh làm quen với cấu trúc đề thi, dạng câu hỏi, và mức độ khó của kỳ thi TIMO.
  • Phát triển tư duy logic, khả năng giải quyết vấn đề, và kiến thức toán học cho học sinh.
  • Nâng cao sự tự tin và kỹ năng làm bài thi cho học sinh.

Tài liệu này là nguồn tài liệu vô cùng hữu ích cho học sinh, giáo viên, và phụ huynh trong quá trình ôn luyện và chuẩn bị cho kỳ thi Olympic Toán học quốc tế TIMO.

Chưa có đánh giá nào cho tài liệu này.

Hotline: 0965865940